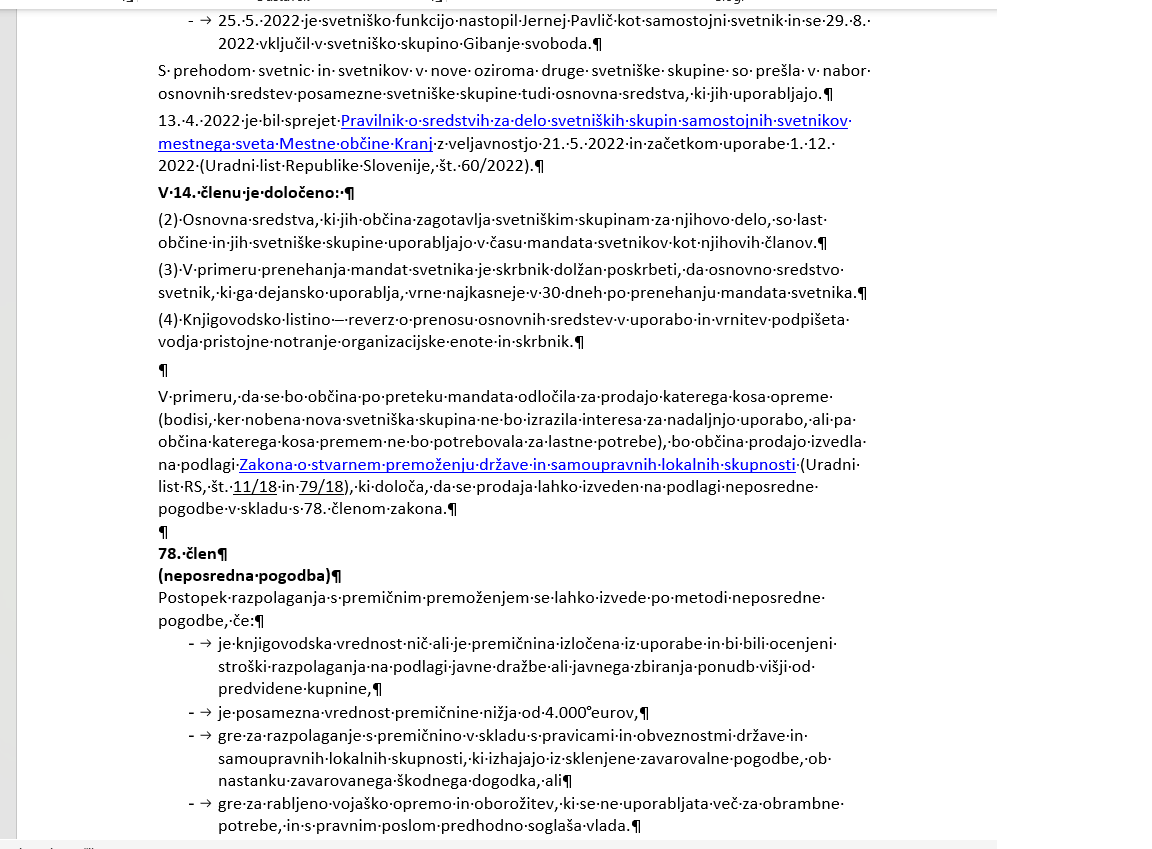
Zgornjo prodajo so umaknili. Seveda pa bo treba javnosti pojasniti, zakaj vsak davkoplačevalec ni v enakem položaju do občinske lastnine (kar oprema je...) in zakaj bi bili do odkupa prednostno upravičeni tisti, ki so jo štiri leta zastonj uporabljali?


